ในการเขียนโปรแกรม จะต้องมีการ "วนซ้ำ" เพื่อตรวจสอบข้อมูลจำนวนมากๆ หรือเพื่อใช้สั่งให้ทำงานหลายรอบ
Flowchart

Statement
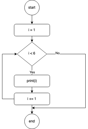
1. while Loop
ใช้เมื่อไม่ทราบจำนวนรอบที่แน่นอน ลูปจะทำงานตราบใดที่เงื่อนไขเป็นจริง
let i = 1;
while (i < 6) {
console.log(i);
i++;
}Flowchart

Example
- รับค่า input จากผู้ใช้จนกว่าจะพิมพ์ 0
let input;
while (input !== "0") {
input = prompt("กรุณาใส่ตัวเลข (พิมพ์ 0 เพื่อจบ):");
console.log("คุณพิมพ์:", input);
}2. for Loop
ใช้เมื่อทราบจำนวนรอบที่แน่นอน
for (let i = 1; i < 6; i++) {
console.log(i);
}Flowchart

Example
- โปรแกรมแสดงผลบวกระหว่างเลข 1-100
let sum = 0;
for (let i = 1; i <= 100; i++) {
sum += i;
}
console.log("ผลรวม = " + sum);3. do...while Loop
ลูปนี้จะทำงานอย่างน้อยหนึ่งครั้งก่อนตรวจสอบเงื่อนไข
let i = 1;
do {
console.log(i);
i++;
} while (i < 6);
Example
- รับค่าจนกว่าผู้ใช้จะพิมพ์ exit
let input;
do {
input = prompt("กรอกข้อความ (พิมพ์ exit เพื่อออก):");
console.log("คุณพิมพ์:", input);
} while (input !== "exit");Control statement (คำสั่งควบคุมลูป)
1. break
ใช้เพื่อออกจากลูปทันทีเมื่อเงื่อนไขเป็นจริง:
for (let i = 1; i <= 10; i++) {
if (i === 5) {
break;
}
console.log(i);
}Flowchart

2. continue
ใช้เพื่อข้ามการทำงานในรอบปัจจุบันและไปยังรอบถัดไปของลูป
for (let i = 1; i <= 5; i++) {
if (i === 3) {
continue;
}
console.log(i);
}Flowchart

Nested Loops
การใช้ลูปซ้อนกันเพื่อทำงานกับข้อมูลความซับซ้อนหรือมีมากกกว่า 1 มิติ (multi-dimensional array)
for (let i = 1; i <= 3; i++) {
for (let j = 1; j <= 3; j++) {
console.log(`i = ${i}, j = ${j}`);
}
}Flowchart

Example
- สูตรคูณ 12 แม่
for (let i = 1; i <= 12; i++) {
console.log(`\n--- Multiplication Table of ${i} ---`);
for (let j = 1; j <= 12; j++) {
console.log(`${i} x ${j} = ${i * j}`);
}
}Exercise
- รับค่าตัวเลข 5 ตัวจากผู้ใช้ แล้วคำนวณผลรวมและผลคูณของตัวเลขเหล่านั้น
- รับชุดตัวเลขจากผู้ใช้ 6 ตัว แยกแสดงเลขคู่และเลขคี่
- รับค่า input number จากผู้ใช้แล้ว แสดงผลตัวเลข และแถว ดังนี้
- number = 1 แสดงผล
1- number = 2 แสดงผล
1
1 2- number = 4 แสดงผล
1
1 2
1 2 3
1 2 3 4💡
เว้นบรรทัดใช้คำสั่ง console.log("\n");
Assignment
- จากโปรแกรมในบทความที่แล้ว ให้เปลี่ยนเงื่อนไขการเช็ค password จากเงื่อนไขเท่ากับตรงๆ เป็น พิมพ์รหัสอะไรก็ได้ แต่โปรแกรมต้องเช็คว่า
- มีตัวเลขอยู่ใน password นั้นหรือไม่ ถ้าไม่มีให้แสดงผล
Wrong format, please include number - มีตัวอักษร
Aอยู่ใน password นั้นหรือไม่ ถ้าไม่มีให้แสดงผลWrong format, please include some alphabet - มีสัญลักษณ๊
@หรือ#อยู่ password นั้นหรือไม่ ถ้าไม่มีให้แสดงผลWrong format, please include some symbol - user กรอก password มาเกิน 8 ตัวหรือไม่ ถ้าไม่มีให้แสดงผล
Wrong format, password too short
- มีตัวเลขอยู่ใน password นั้นหรือไม่ ถ้าไม่มีให้แสดงผล
💡
String สามารถวนลูปได้ โดยแต่ละลูปจะได้ตัวอักษรแต่ละตัว
👍
เช็คความยาวตัวอักษรจาก method String.length
Reference
[Part 4] Python 101: Iteration
Basic ในการเขียนโปรแกรม จะต้องมีการ ”วนซ้ำ” เพื่อตรวจสอบข้อมูลจำนวนมากๆ หรือเพื่อใช้สั่งให้ทำงานหลายรอบ Flowchart While Loop Definition เป็น loop พื้นฐานที่มีในทุกภาษา syntax ตรงไปตรงมา ทำงานจนไม่เข้าเงื่อนไขของ while จึงจะหยุดทำงาน Syntax i = 1 # define variable
while i < 6: # loop until
